Data Analysis Exercise: Exploring flu vaccination coverage in U.S. adults (2020–21)

This dataset comes from the CDC’s Cumulative Influenza Vaccination Coverage for Adults 18 years and older in the United States during the 2020-21 flu season.

You can find the original CDC dataset here.

The surveys were done using two large national panels: the IPSOS KnowledgePanel Omnibus and the NORC AmeriSpeak Omnibus.Each row in the dataset gives us information like when the data was collected, what age or race/ethnicity group it refers to, what percent of adults said they had gotten a flu shot (the point estimate), and the confidence interval (range of uncertainty). It also shows the sample size corresponding to how many people responded that week in that group.

Load and process data:

Besides trimming the dataset to keep only the relevant columns, I also had to fix two issues. First, the Data_Collection_Midpoint_date column included unnecessary time information. Since all records for a given period already shared the same time, I formatted this column to display only the year and month (“2021 Jan”). Second, the Sample_Size column had a value labeled as “<30”, which made the variable non-numeric and broke summary calculations. To fix this, I converted all “<30” values to “30” so the column could be treated as a continuous numeric variable.

library(tidyverse)
Warning: package 'ggplot2' was built under R version 4.4.3
Warning: package 'tibble' was built under R version 4.4.3
Warning: package 'tidyr' was built under R version 4.4.3
Warning: package 'readr' was built under R version 4.4.3
Warning: package 'purrr' was built under R version 4.4.3
Warning: package 'dplyr' was built under R version 4.4.3
Warning: package 'lubridate' was built under R version 4.4.3
── Attaching core tidyverse packages ──────────────────────── tidyverse 2.0.0 ──
✔ dplyr     1.2.0     ✔ readr     2.2.0
✔ forcats   1.0.1     ✔ stringr   1.6.0
✔ ggplot2   4.0.2     ✔ tibble    3.3.1
✔ lubridate 1.9.5     ✔ tidyr     1.3.2
✔ purrr     1.2.1     
── Conflicts ────────────────────────────────────────── tidyverse_conflicts() ──
✖ dplyr::filter() masks stats::filter()
✖ dplyr::lag()    masks stats::lag()
ℹ Use the conflicted package (<http://conflicted.r-lib.org/>) to force all conflicts to become errors
library(readr)
library(lubridate)
library(here)
here() starts at /Users/ayllaermland/Downloads/BIOS8060E/AyllaErmland-portfolio
#Load the data
flu_data <- read_csv(here("cdcdata-exercise", "Cumulative_Influenza_Vaccination_Coverage_20260210.csv"))
Rows: 140 Columns: 18
── Column specification ────────────────────────────────────────────────────────
Delimiter: ","
chr (8): Data_Collection_Start_Date, Data_Collection_End_Date, Data_Collecti...
dbl (8): Data_Collection_Midpoint_MMWR_Week, Data_Collection_Midpoint_MMWR_D...
num (1): Data_Collection_Midpoint_MMWR_Year
lgl (1): Suppressed

ℹ Use `spec()` to retrieve the full column specification for this data.
ℹ Specify the column types or set `show_col_types = FALSE` to quiet this message.
#Show all column names (optional)
colnames(flu_data)
 [1] "Data_Collection_Start_Date"                     
 [2] "Data_Collection_End_Date"                       
 [3] "Data_Collection_Midpoint_date"                  
 [4] "Data_Collection_Midpoint_MMWR_Year"             
 [5] "Data_Collection_Midpoint_MMWR_Week"             
 [6] "Data_Collection_Midpoint_MMWR_Day"              
 [7] "Data_Collection_Midpoint_MMWRWeek_Display_Order"
 [8] "Month_Abbrev"                                   
 [9] "Month_Sort_Order"                               
[10] "Data_Source"                                    
[11] "Suppressed"                                     
[12] "Race_Ethnicity"                                 
[13] "Age_Group"                                      
[14] "Point_Estimate"                                 
[15] "CI_HalfWidth"                                   
[16] "CI_Lower"                                       
[17] "CI_Upper"                                       
[18] "Sample_Size"                                    
#Select and clean columns
flu_trimmed <- flu_data %>%
  select(
    Data_Collection_Midpoint_date,
    Race_Ethnicity,
    Age_Group,
    Point_Estimate,
    CI_Lower,
    CI_Upper,
    Sample_Size
  ) %>%
  mutate(
    #Format the date: "2020 Dec 19 12:00:00 AM" → "2020 Dec"
    Data_Collection_Midpoint_date = format(
      parse_date_time(Data_Collection_Midpoint_date, orders = "Y b d I:M:S p"),
      "%Y %b"
    ),
    
    #Clean Sample_Size: remove "<" if present, then convert to numeric
    Sample_Size = as.numeric(gsub("<", "", Sample_Size))
  )

#Save processed dataset
write_csv(flu_trimmed, here("cdcdata-exercise", "flu_trimmed_dataset.csv"))

Exploring the data:

1st variable: Estimating frequencies of Age_Group variable:

#Creating a summary table for Age_Group:
#This counts how many rows belong to each unique age group
age_summary <- flu_trimmed %>%
  group_by(Age_Group) %>%          #Group the data by Age_Group
  summarise(
    count = n()                    #Count how many rows in each group
  ) %>%
  mutate(
    percent = round(100 * count / sum(count), 1)  #Calculate the percentage each group represents (rounded to 1 decimal)
  )

#Print the summary table
age_summary
# A tibble: 4 × 3
  Age_Group        count percent
  <chr>            <int>   <dbl>
1 18-49               35      25
2 50-64               35      25
3 65+                 35      25
4 All Adults (18+)    35      25
#Bar plot showing the percentage for each age group
ggplot(age_summary, aes(x = reorder(Age_Group, -percent), y = percent)) +  
  geom_col(fill = "lightblue") +  
  labs(
    title = "Distribution of Records by Age Group",  
    x = "Age Group",                                 
    y = "Percentage (%)"                            
  )

Estimating frequencies for the 2nd variable race_ethnicity:

#Creating a summary table for Race_Ethnicity:
#calculates how many records fall under each racial/ethnic group and what % that is

race_summary <- flu_trimmed %>%
  group_by(Race_Ethnicity) %>%     
  summarise(
    count = n()                    #Count the number of records (rows) in each group
  ) %>%
  mutate(
    percent = round(100 * count / sum(count), 1)  #Calculate what % of the total each group represents
  )

race_summary
# A tibble: 5 × 3
  Race_Ethnicity      count percent
  <chr>               <int>   <dbl>
1 Black, Non-Hispanic    28      20
2 Hispanic               28      20
3 Other, Non-Hispanic    28      20
4 Overall                28      20
5 White, Non-Hispanic    28      20
#Bar chart of the percentage of records by Race_Ethnicity
ggplot(race_summary, aes(x = reorder(Race_Ethnicity, -percent), y = percent)) +
  geom_col(fill = "lightpink") +  #Use a bar chart (column plot) with coral color
  labs(
    title = "Distribution of records by race/ethnicity",  
    x = "Race/ethnicity",                                 
    y = "Percentage (%)"                                  
  ) +
  coord_flip()  #Flip coordinates so bars are horizontal

3rd Variable:

For the continuous variable of vaccination coverage, I will plot a distribution and calculate the mean and SD of this dataset.

# Summary statistics
coverage_stats <- flu_trimmed %>%
  summarise(
    mean_coverage = mean(Point_Estimate, na.rm = TRUE),
    sd_coverage = sd(Point_Estimate, na.rm = TRUE)
  )

coverage_stats
# A tibble: 1 × 2
  mean_coverage sd_coverage
          <dbl>       <dbl>
1          53.1        12.5
# Histogram with normal curve (updated syntax)
ggplot(flu_trimmed, aes(x = Point_Estimate)) +
  geom_histogram(aes(y = after_stat(density)), bins = 25, fill = "black", color = "black", na.rm = TRUE) +
  #Add a normal distribution curve using the mean and SD from the data:
  stat_function(
    fun = dnorm,
    args = list(
      mean = mean(flu_trimmed$Point_Estimate, na.rm = TRUE),
      sd = sd(flu_trimmed$Point_Estimate, na.rm = TRUE)
    ),
    color = "red"
  ) +
  labs(
    title = "Vaccination coverage",
    x = "Coverage (%)",
    y = "Density"
  )

4th variable: Data_Collection_Midpoint_date

::: {.cell}

# Calculate percentage of records per month
date_counts <- flu_trimmed %>%
 group_by(Data_Collection_Midpoint_date) %>%
 summarise(records = n()) %>%
 mutate(percent = round(100 * records / sum(records), 1))

head(date_counts)  # Preview table

::: {.cell-output .cell-output-stdout}

# A tibble: 3 × 3
  Data_Collection_Midpoint_date records percent
  <chr>                           <int>   <dbl>
1 2020 Dec                           40    28.6
2 2021 Feb                           20    14.3
3 2021 Jan                           80    57.1

:::

# Bar plot showing percentage of records per month
ggplot(date_counts, aes(x = Data_Collection_Midpoint_date, y = percent)) +
 geom_col(fill = "black") +
 labs(
   title = "Percentage of records by month and year",
   x = "Month/Year",
   y = "Percentage (%)"
 ) +
 theme(axis.text.x = element_text(angle = 45, hjust = 1))

::: {.cell-output-display} ::: :::

5th variable: Sample size

#Calculate mean and standard deviation for Sample_Size
sample_size_stats <- flu_trimmed %>%
  summarise(
    mean_sample_size = mean(Sample_Size, na.rm = TRUE),
    sd_sample_size = sd(Sample_Size, na.rm = TRUE)
  )

sample_size_stats
# A tibble: 1 × 2
  mean_sample_size sd_sample_size
             <dbl>          <dbl>
1             203.           249.
# Histogram to check distribution
ggplot(flu_trimmed, aes(x = Sample_Size)) +
  geom_histogram(bins = 25, fill = "black", color = "white") +
  labs(
    title = "Distribution of Sample Size",
    x = "Sample Size",
    y = "Count"
  )

This section is contributed by: Emil Joson

I’m recreating the cleaned dataset (flu_trimmed) using synthetic data (at least enough to recreate the figures above). Specifically, I’m aiming for a dataset with 5 columns and 140 rows. The 5 columns are: 1. collection_date (Dec 2020, Jan 2021, Feb 2021) 2. race (Black, Non-Hispanic; White, Non-Hispanic; Other, Non-Hispanic; Hispanic; Overall; [equal distribution]) 3. age_group (18-49; 50-64; 65+; All Adults (18+); [equal distribution]) 4. coverage (1-100%; [normal distribution]) 5. sample_size (1-1000; [left-skewed])

Disclaimer: Code for synthesizing data in R was aided with chatGPT with the description above.

library(ggplot2) 

#Preparing variables: dates, races, age_groups

dates <- as.POSIXct(c("2020-12-15 12:00:00", "2021-01-15 12:00:00", "2021-02-15 12:00:00"), tz = "America/New_York")

races <- c("White, non-Hispanic", "Hispanic", "Black, non-Hispanic", "Other, non-Hispanic", "Overall")

age_groups <- c("18–49", "50–64", "65+", "All adults (18+)")
#Preparing the dataframe
base_grid <- expand.grid(race = races, age_group = age_groups, stringsAsFactors = FALSE)

synthetic <- base_grid[rep(seq_len(nrow(base_grid)), times = 7), ]

nrow(synthetic) #confirming 140 rows
[1] 140

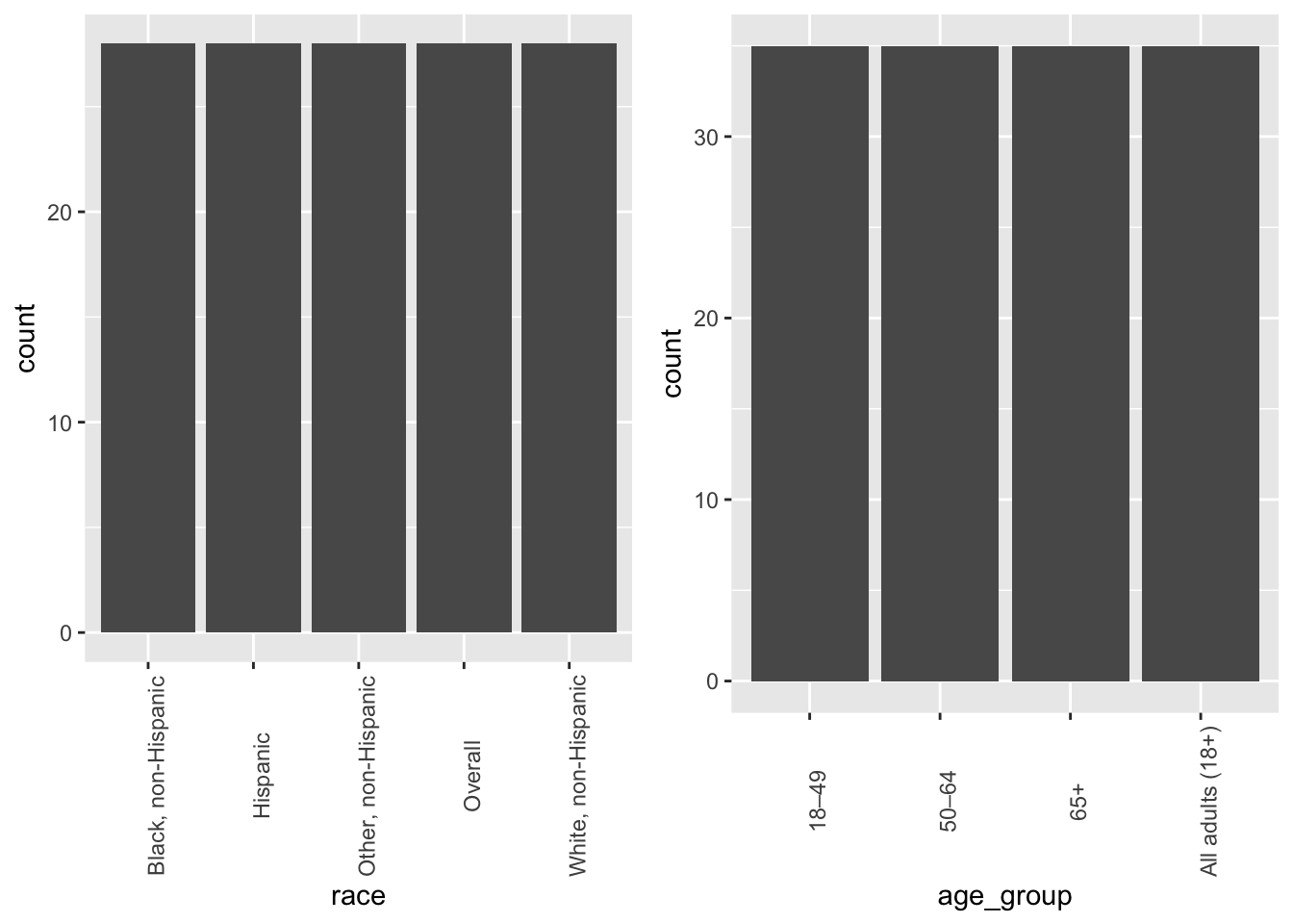
At this point, the dataframe now has both races and age groups. Because of how they’re made, we’ve made sure that they’re equally distributed - just like in the cleaned dataset above.

E1 <- ggplot(synthetic, aes(x = race))+
  geom_bar()+
  theme(axis.text.x = element_text(angle=90))

E2 <- ggplot(synthetic, aes(x = age_group))+
  geom_bar()+
  theme(axis.text.x = element_text(angle=90))

library(gridExtra)

Attaching package: 'gridExtra'
The following object is masked from 'package:dplyr':

    combine
grid.arrange(E1, E2, ncol = 2, nrow =1)

Continuing with adding more variables to the dataframe, here I’m adding dates. I only specified three entries (Dec 2020, Jan 2021, Feb 2021) but I didn’t specify the distribution. I just wanted to see what the AI would default to.

#Adding collection dates to the dataframe
n <- 140
date_vec <- rep(dates, length.out = n)
date_vec <- sample(date_vec)  # shuffle so dates aren’t in blocks
synthetic$data_collection_date <- date_vec

ggplot(synthetic, aes(x = data_collection_date))+
  geom_bar()

The dates here are more equally distributed than the cleaned dataset above.

Next, the sample sizes. In order to recreate the distribution shape of the cleaned dataset above, I specified the prompt to produce a left-skewed distribution.

#Adding sample sizes to the data frame
raw_n <- rexp(n, rate = 1/120)      # exponential; mean ~120 (lots of small values)
sample_size <- pmin(pmax(round(raw_n), 1), 1000)

synthetic$sample_size <- sample_size

ggplot(synthetic, aes(x = sample_size))+
  geom_histogram()
`stat_bin()` using `bins = 30`. Pick better value `binwidth`.

The synthetic data produced here does lean toward the left. However, I think the cleaned dataset above was way more skewed.

Lastly, vaccination coverage. I specfified the prompt that this variable should exhibit a normal distribution just like the cleaned dataset above.

#Adding vaccination coverage to the dataframe
coverage <- rnorm(n, mean = 55, sd = 12)
coverage <- pmin(pmax(coverage, 0), 100)
synthetic$coverage <- coverage

#Grabbing the code from above to produce the figure
ggplot(synthetic, aes(x = coverage)) +
  geom_histogram(aes(y = after_stat(density)), bins = 25, fill = "black", color = "black", na.rm = TRUE) +
  #Add a normal distribution curve using the mean and SD from the data:
  stat_function(
    fun = dnorm,
    args = list(
      mean = mean(synthetic$coverage),
      sd = sd(synthetic$coverage)
    ),
    color = "red"
  ) +
  labs(
    title = "Vaccination coverage",
    x = "Coverage (%)",
    y = "Density"
  )